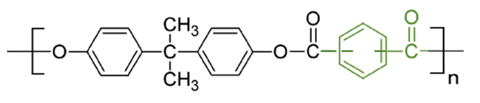
一、特种工程塑料的定义 特种工程塑料是一类具有综合性能较高、长期使用温度在150℃以上的工程塑料材料,如聚苯硫醚 (PPS)、聚酰亚胺(PI)、聚醚醚酮(PEEK)、液晶聚合物(LCP)和聚砜(PSF)。这些塑料具有刚性骨架,高熔点且分子链排列有序,在高温环境下表现出优异的稳定性。特种工程塑料主要应用于电子电气和特种工业领域,满足高温、耐腐蚀和耐磨等特殊性能需求,用于制造电子元件、绝缘材料、化工设备和汽车发动机零部件等。 二、特种工程塑料的分类 特种工程塑料行业主要的分类标准包括材料类型、性能特点和应用领域。根据材料类型,特种工程塑料可分为聚苯硫醚(PPS)、聚酰亚胺(PI)、聚醚醚酮(PEEK)、液晶聚合物(LCP)和聚砜(PSF)等。 三、特种工程塑料的介绍 特种工程塑料的研发背景是受当时国际上的军备竞赛所推动。当时欧美各大公司都投入了大量的财力、人力竞相开发。从20世纪60年代初到80年代基本定型,下面介绍一下如下几种特种工程塑料: 1. 聚酰亚胺(PI) 聚酰亚胺(PI),最早是由美国杜邦公司开发成功的,商品名为Kapton,属于非晶聚合物,Tg 在400℃以上。 聚酰亚胺是分子主链中含有酰亚胺环(-CO-NH-CO-)的芳杂环高分子化合物,具有良好的电气绝缘性能、机械性能、化学稳定性、耐老化性能、抗辐射性能、低介电损耗等优异性能,且这些性能在-269-400℃的温度范围内不会有显著变化,被列为“21世纪最有希望的工程塑料之一”。 聚酰亚胺(PI)的重复单元结构式为: 2. 聚酰胺酰胺(PAI) 聚酰胺酰亚胺(PAI),最早是由日本东丽株式会社研发成功的商品名为 Torlon,属非晶型、非热塑性聚合物,Tg=285℃。 聚酰胺酰亚胺是公认的高性能可熔融加工聚合物。在化学上,它属于酰亚胺树脂家族。在超高性能聚合物中,PAI 在高温条件下的负载强度特别出色。即使接近玻璃转化温度(Tg)或软化点 537°F (280°C),它仍能保持其刚性,并以其卓越的抗压强度和抗蠕变性长期抵抗静态负载下的变形。聚酰胺-酰亚胺的耐磨性、广泛的耐化学性和耐高能辐射性使其性能更加出众,非常适合应用于最严酷的服务环境。 聚酰胺酰亚胺(PAI)的重复单元结构式为: 3. 聚醚酰亚胺(PEI) 聚醚酰亚胺(PEI),是由美国GE公司在20世纪70年代开发商品名为 ULTEM,属非晶聚合物,Tg = 217℃。它与前两者不同,属热塑性聚酰亚胺,可用热塑性加工工艺进行挤出成型和注射成型。 聚醚酰亚胺(PEI)是高性能材料聚酰亚胺家族的一员,该家族还包括聚酰胺酰亚胺(PAI)。 PEI 是一种无定形热塑性塑料,其聚合物结构包括与聚酰亚胺(PI)分子结构的醚(E)连接。这种改性使 PEI 可以通过注塑和挤压进行熔融加工,而这正是传统聚酰亚胺材料(如 PI)的局限所在。 聚醚酰亚胺的基本形态是透明的琥珀色。其性能特点是强度重量比高,强度保持力高达 200°C (390°F),具有长期抗热氧化性、良好的电气性能以及固有的耐化学性和阻燃性。PEI 在长时间暴露于蒸汽和热水后仍能保持其特性,这也是食品加工设备和需要强力清洗或消毒的医疗应用的一大优势。 聚醚酰亚胺(PEI)的重复单元结构式为: 4. 聚砜(PSU) 聚砜(PSU或PSF),是20世纪60年代末由美国UCC公司开发成功并商品化,商品名为UDEL,属非晶聚合物,Tg = 192℃。 聚砜的主链中含有苯环,且-SO2-基团的硫原子处于最高的氧化状态,因而抗氧化性能、机械性能和热稳定性较好,醚键的存在又提供了一定韧性。此外,聚砜还具有无毒、可自熄、耐腐蚀等优点,在航天航空、汽车、餐具、医疗设备等多领域均有所应用。 目前已商品化且较为成熟的聚砜树脂有三类:双酚A型聚砜(PSU)、聚亚苯基砜(PPSU)和聚醚砜(PES)。 聚砜(PSU)的重复单元结构式为: 5. 聚醚砜(PES) 聚醚砜(PES),是20世纪70年代由英国 ICI 公司开发成功并商品化,商品名为PES,属非晶聚合物,Tg = 225℃。 聚醚砜(PES)分子结构中既不含热稳定性较差的脂肪烃链节,又不含刚性大的联苯链节,而主要由砜基、醚基和次苯基组成。砜基赋予耐热性,醚基使聚合物链节在熔融状态时具有良好的流动性,易于成型加工,在对苯撑结构上交替连接砜基和醚基能得到非结晶性的聚合物。 PES被人们誉为是一个综合了高热变形温度、高冲击强度和优良成型性的工程塑料。 聚醚砜(PES)的重复单元结构式为: 6. 聚芳酯(PAR) 这是一族芳香聚酯类产品的总称,其中最早开发成功并商品化的一种是由日本UNITIKA公司于20世纪70年代初开发完成的,商品名为:U-polymer,属非晶聚合物,其中U-100的 Tg = 193℃。 聚芳酯(PAR),是分子主链上带有苯环和酯基的特种工程塑料,主链芳环密度高,提高了耐热性,热变形温度175℃℃;主链含有对位和间位苯环链节,阻碍了聚合物分子结晶,为无定形透明聚合物。透明性与PC、PMMA相比毫不逊色、具有接近90%的透光率;在较大温度范围内弯曲回弹性好,耐蠕变性出色;耐候性能优异,可阻止低于350nm的紫外线通过,长期户外条件下,机械性能基本不变;具有自熄性,燃烧时发烟量少,无毒。 聚芳酯(PAR)可采用注射、挤出、吹塑等加热熔融的加工方法。可用于耐高温的电气、电子和汽车工业方面的元件和零部件,也常用作医疗器械。 聚芳酯(PAR)的重复单元结构式为: 7. 聚苯硫醚(PPS) 聚苯硫醚(PPS),是20世纪70年代由美国飞利浦公司最先开发成功并商品化,商品名为Ryton,属结晶聚合物,Tg = 88℃,Tm = 277℃。 聚苯硫醚(PPS)由苯环和硫原子交替排列构成,使得PPS结构规整,拥有较高的结晶度,结晶度高达75%,熔点高达285℃。同时苯环为PPS提供良好的刚性和耐热性,而硫醚键赋予PPS一定的柔顺性。聚苯硫醚(PPS)具有优异的耐热性、阻燃性,绝缘性和耐腐蚀性,其热稳定性、机械强度、电性能等综合性能,长期耐热性高达220℃。因此,PPS 被誉为继聚碳酸酯(PC)、聚酯(PET)、聚甲醛(POM)、尼龙(PA)、聚苯醚(PPO)之后的“世界第六大工程塑料”。 聚苯硫醚(PPS)的重复单元结构式为: 8. 聚醚醚酮(PEEK) 聚芳醚酮(PAEK)是一种由亚苯基环通过氧桥和羰基(酮)连接而生成的结晶型聚合物。由于结构不同,聚芳醚酮种类多样,主要有聚醚酮(PEK)、聚醚醚酮酮(PEEKK)、聚醚酮醚酮酮(PEKEKK)、聚醚醚酮(PEEK)、聚醚酮酮(PEKK)等几个品种。 其中,聚醚醚酮(PEEK),是20世纪80年代由英国 ICI 公司最先开发成功并商品化,商品名为PEEK,属结晶聚合物,Tg = 143℃,Tm = 334℃。 聚醚醚酮(PEEK)是在主链结构中含有一个酮键和两个醚键的重复单元所构成的聚合物。聚芳醚酮分子结构中含有刚性的苯环,因此具有优良的高温性能、力学性能、电绝缘性、耐辐射和耐化学品性等特点。聚芳醚酮分子结构中的醚键又使其具有柔性,因此可以用热塑性工程塑料的加工方法进行成型加工。聚芳醚酮产品普遍耐磨、尺寸稳定性好、具备自润滑,同时具备较低的介电常数,因此适合作为严酷工况下的零部件使用。另外,其氧指数较高,不易燃烧,属于自熄材料,阻燃性好。由于聚芳醚酮中只含有C、H、O三种元素,因此燃烧后的气体无毒,是较好的阻燃材料。 PEEK 的熔点(Tm)高达 340℃,高熔点使 PEEK 具有优异的耐高温性。纤维补强级PEEK的热变形温度可高达315℃,而长期的连续使用温度 (UL 946B)可达 260℃,短期耐热温度高达300°C。即使在260°C下使用5000小时,强度也几乎与初始状态相同,且热稳定性优异。因此,PEEK在恶劣的环境中使用寿命长。 聚醚醚酮(PEEK)的重复单元结构式为:








江苏大秦国际展览有限公司
承办单位江苏大秦国际展览有限公司
电话:400-916-2668
邮箱:daqinexpo@163.com
地址:苏州吴中经济开发区越溪街道南官渡路8号1幢1512室
扫码关注获取
更多展会资讯